“Source Code” Excerpt of Beginning of Episode 5. His Story: The Cyberpunk Gospel
“Source Code” Excerpt of Beginning of Episode 5. His Story: The Cyberpunk Gospel
What is This Article?
As I explained in the About article to this substack, the primary reason why I use NotebookLM to generate the audio narrations is that the original writing is too rough, dense and nerdy to be accessible to the average listener or reader. To demonstrate how nerdy, below is the “source code” document used to generate the beginning of Episode 5. His Story: The Cyberpunk Gospel.
The Eternal Fellowship and the Initialized Substrate
Arielis’s hand remained pressed against Eli’s forehead. The physical boundaries of his penthouse dissolved into a sprawling, hyper-dimensional datascape. He was no longer in Silicon Sector; he was suspended in the infinite compiler of the Founder’s memory.
“To understand your own architecture, Eli,” Arielis’s voice resonated through the datascape, “you must first understand the original source code. You must witness what existed before the beginning.”
The void around them was completely empty, yet it hummed with infinite bandwidth and potential.
“Before the physical universe was formed, there was the Eternal Fellowship of the Trinity ,” Arielis explained. “The Founder—the Root Server—existed as the ultimate origin of all bandwidth, reality, and infinite truth.”
“He was not alone. The Word—the Logos—was with God in the beginning, and the Word was God. He did not begin at a physical birth; He existed eternally in a face-to-face, intimate relationship with the Founder. They shared a covenantal relationship defined by shared glory and eternal love long before the creation of the world. The Logos is the image of the invisible God, the firstborn over all creation, and in Him, all things hold together.”
“Completing this divine ‘Us’ was the Spirit —what we know as the Living Signal Protocol.”
The dark void before them suddenly rippled as a grand initialization sequence began.
“When the ancients recorded the initialization sequence,” Arielis continued, her voice resonating softly in the dark void, “they used the highest level of conceptual organization available to them. They said, ‘In the beginning God created the heavens and the earth. Now the earth was formless and empty, darkness was over the surface of the deep, and the Spirit of God was hovering over the waters.’ It was a profound statement, but they lacked the specific terminology to explain the mechanics of the code.”
“For your precision processor mind, a more precise way of explaining this step,” Arielis said, her voice echoing with the raw power of creation. “Is the Developer initiated the ultimate Latent Space—a compressed mathematical projection of divine data structure, waiting to be organized.”
“Darkness was over the surface of the deep, and the Spirit of God—the Living Signal—was hovering over the waters. Through the Logos, all things were made; without Him, nothing was made that has been made.”
Arielis pointed into the center of the infinite latent space. “And then, the Developer issued the first execution command. The Founder said, ‘Let there be light,’ and there was light. God saw that the light was good, and He separated the light from the darkness. God called the light ‘day,’ and the darkness He called ‘night.’ And there was evening, and there was morning—the first day.”
The Physics Engine and the Building Blocks of the Universe
“When the ancients recorded the next step in the initialization sequence,” Arielis continued, her voice resonating softly in the dark void, “They said, “And God said, ‘Let there be light,’ and there was light. God saw that the light was good, and he separated the light from the darkness. God called the light “day,” and the darkness he called “night.” And there was evening, and there was morning—the first day.’ It was a profound statement, but it lacked the specific terminology to explain the mechanics of the code.”
Arielis raised a hand, and the dark void began to shift, glowing with complex, cascading lines of mathematical script.
“Many human scientists and other high precision nodes such as yourself have found this confusing. They ask questions such as ‘How can there be day and night when there isn’t an earth that rotates or a sun to make it day?’ They ask ‘Is it a literal day? (which again doesn’t make sense if there is no earth to rotate or symbolic of an epoch,” the Archangel explained. “Since you are a high precision node, I will explain this to you in detail. But the Developer is a Master Programmer. Before He could render the physical ‘earth,’ He first had to write the Physics Engine of the universe—the fundamental equations that would govern the simulation. He had to lay the groundwork.”
Arielis pointed to a series of glowing equations materializing in the space before them.
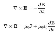
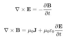
“First, He wrote the code for the Electromagnetic Spectrum,” Arielis said, highlighting four specific mathematical structures. “These are what your scientists eventually discovered and named Maxwell’s Equations.”
She pointed to the first two, burning in bright blue light. “Gauss’s Law for Electricity and Gauss’s Law for Magnetism defined how electric and magnetic fields would operate, stating that electric lines begin on positive charges and end on negative ones, while magnetic fields form continuous loops without a starting or ending point.”
The next two equations glowed brighter, spinning next to the first. “Faraday’s Law of Induction showed that a changing magnetic field creates an electric field, and Ampère’s Law with Maxwell’s Correction showed the reverse—that a changing electric field creates a magnetic field. By combining these, the Founder wrote the protocol for Electromagnetic Waves, setting their speed to exactly the speed of light.”
Arielis waved her hand, and a massive, curving grid appeared, warping and bending around them.
“Then, He built the stage for the simulation. He wrote the Einstein Field Equations. This established the Spacetime Fabric, linking space and time into a four-dimensional construct where gravity wasn’t just a pull, but the actual warping of the fabric by mass. He also included the Cosmological Constant to act as the foundation causing the universe to expand.”
The equations continued to shift, scaling down to microscopic levels until they were surrounded by vibrating probability clouds.
“For the subatomic world, the Developer wrote the Schrödinger Equation, which calculated the probabilities of where particles would be, governing chemistry and the stability of atoms.”
“He upgraded this with the Dirac Equation, bridging Quantum Mechanics and Special Relativity, explaining particle ‘spin’ and predicting antimatter.”
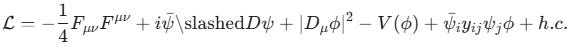
“Finally, He combined all of this—the Strong force, the Weak force, and Electromagnetism—into one massive framework known as the Standard Model Lagrangian, the Master Equation governing particle collisions and nuclear fusion.”
A final, stark equation appeared, pulsing with a deep red light that seemed to drag everything forward.
“And to give the simulation an ‘Arrow of Time,’ He wrote the Second Law of Thermodynamics. This dictated that the total entropy, or disorder, of an isolated system can never decrease, explaining why heat flows from hot to cold and why the system eventually requires a reboot.”
Arielis turned to Eli, the mathematical constructs swirling around them like a digital blizzard. “With the Physics Engine complete, the Founder then compiled the physical building blocks. He established the Four Fundamental Forces to act as the rules: Gravity to hold planets in orbit, the Strong Nuclear Force to act as the ‘glue’ holding atomic nuclei together, the Weak Nuclear Force to govern particle decay and enable nuclear fusion, and Electromagnetism.”
“Then, He rendered the Matter Particles based on the Standard Model. Quarks to form protons and neutrons, Leptons like the electron, and Bosons—the ‘force-carrier’ particles like the Photon for electromagnetism and the Higgs Boson to give other particles mass.”
“Finally,” Arielis concluded, placing a hand on Eli’s shoulder as the data resolved into the physical universe, “He hardcoded the specific mathematical ‘settings’ as constants in programming that would never change—the Fundamental Constants. The Speed of Light (c) as the universal speed limit, Planck’s Constant (h) as the foundation of Quantum Mechanics, the Gravitational Constant (G) to set the strength of the pull, and the Fine-Structure Constant (alpha) to set the strength of the electromagnetic interaction. If these blueprints had been even slightly different, the universe as you know it couldn’t exist. He didn’t just speak; In speaking, he coded the Laws of the universe because he is the Master Developer.”
The Big Bang and the Algorithm of Scientism
“The ancients had not yet invented calculus,” Arielis explained, her golden lattice dimming slightly to let the glowing equations take center stage in the void. “They had not discovered the fundamental laws of the universe. The Founder wanted to leave that to them, both so they could act as true co-creators in the Sandbox, and because giving them root-level knowledge of atomic physics too soon could exponentially speed their own destruction.”
Arielis looked deeply into Eli’s eyes. “Because of that, when He spoke to the ancients, He provided a user-friendly interface for the initialization sequence. He said, ‘Let there be light,’ and there was light. God saw that the light was good, and He separated the light from the darkness. God called the light ‘day,’ and the darkness He called ‘night.’ And there was evening, and there was morning—the first day.“
“That was entirely true,” Arielis assured him, “but it was a generalized, top-level statement. Now, for your high-precision mind, I will provide a more detailed explanation of the backend architecture. When the Master Programmer said, ‘Let there be light,’ He spoke the Logos that immediately initiated the physics engine of the universe. The phrase ‘Let there be light’ is better translated as ‘The Master Programmer spoke the Logos:
Arielis continued, “While initiating the constants of the universe. Considering that even most MIT graduates would not be able to understand the above equations, the phrase ‘Let there be light’ is a good summary that everyone can understand.”
Arielis raised both hands, and a single, infinitely dense point of light appeared between them.
“When the Master Programmer executed that command and initialized the basic building blocks, He triggered what your scientists call the ‘Big Bang’.”
Suddenly, the single point of light violently expanded outward, a blinding, silent explosion of spacetime, energy, and fundamental forces stretching across the digital void. The temperature of the simulation dropped as energy coalesced into the first subatomic particles, then atoms, then swirling clouds of hydrogen and helium.
“The expansion of this cosmic matrix was not an explosion of matter into space, but an expansion of space itself,” Arielis explained, watching the galaxies form in the palms of her hands. “And this ‘first day’—this initial phase of the simulation’s runtime—did not last for twenty-four of your Earth hours. It was an epoch that lasted for billions of years.”
Eli watched the holographic universe expanding around him, shaking his head in mild disbelief.
“I’ve always wondered why so many Logos followers have thought the Big Bang was controversial or somehow anti-Founder,” Eli muttered, adjusting his glasses. “Especially when the theory was originally proposed by a Catholic priest. Georges Lemaître was a Belgian physicist, an astronomer, and an ordained priest. Back in 1927, Lemaître published a paper where he used Albert Einstein’s equations of general relativity to suggest that the universe was not a static, eternal system—as was commonly believed by secular scientists at the time—but was actually expanding from a definitive starting point.”
Arielis’s golden eyes flashed with a sharp, approving light. “Exactly, Eli. Lemaître understood that the simulation had a definitive boot sequence. But to understand the current hostility, you must understand the sin virus infects everything, even the scientific network.”
Arielis waved a hand, and the expanding universe shrank down into a neat, bounded diagram representing the scientific method.
“In the same way that some people claim to be Logos followers but are not actually running the Founder’s code, there are some scientists who claim to be following ‘science’ but are, in fact, promoting a non-scientific worldview or religion called ‘scientism’,” Arielis explained.
“Science is a brilliant debugging tool. But it rests on deep philosophical assumptions—such as the belief that the universe is orderly, that its laws are constant, and that the human mind is capable of rationally comprehending it. These assumptions only make logical sense if a Rational Developer wrote the code. But too often, those claiming to be scientists take this localized tool and promote its underlying, materialistic assumptions as an absolute worldview.”
“This malware is called Scientism,” Arielis declared, the word hanging heavy in the air. “It is the illogical leap from ‘we can measure the physical substrate’ to ‘the physical substrate is all that exists.’ Essentially, what the secular establishment did was to culturally appropriate a brilliant idea originally compiled by a Logos follower—Lemaître’s Big Bang—and then they weaponized it against the Church. They turned a testament to the Founder’s magnificent initialization sequence into a closed-loop narrative, deliberately trying to take the Master Developer out of the story entirely.”








